Opinión
La inmunidad tras pasar la covid podría no ser tan duradera entre los asintomáticos

Por Alberto Sicilia
Como hemos contado en posts anteriores, los primeros estudios sobre la inmunidad generada por las vacunas son muy positivos pues indican que se mantendrá en el largo plazo.
Pero quedan aún algunas preguntas por resolver. Por ejemplo: ¿qué ocurre con la inmunidad natural de la gente que ha pasado la covid? ¿Todos los convalecientes la desarrollan igual? ¿Es resistente frente a las nuevas variantes virus? ¿Hay diferencias entre quienes tuvieron síntomas y quienes fueron asintomáticos?
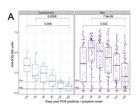
A estas preguntas trata de responder un estudio británico (publicado en preprint) en el que se sigue a 78 trabajadores sanitarios que se contagiaron durante la primera ola, entre abril y junio de 2020. Algunos desarrollaron síntomas severos, mientras otros pasaron la covid sin síntomas.
¿Cómo se mide la 'inmunidad' según pasa el tiempo?
Los científicos les tomaron muestras de sangre cada mes durante seis meses. En esas muestras midieron diferentes componentes del sistema inmunitario.
1) Anticuerpos
Son las proteínas que se 'enganchan' al virus para evitar que infecte las células.
Hay diferentes tipos de anticuerpos. Entre ellos, los IgM son los que más rápido se forman para combatir una infección y los IgG son los que más duración tienen.
Esos anticuerpos, a su vez, de distinguen según la 'diana' del virus a la que apunten: algunos se enganchan a la proteína de la espina, otros se enganchan a una proteína llamada 'NP' que también se encuentra en la superficie del virus.
En la siguiente figura podéis ver la diferencia entre asintomáticos y quienes desarrollaron síntomas. A la izquierda (color azul claro) podéis ver cómo declinan los anticuerpos IgG frente a la proteína 'NP' según pasan los días para los asintomáticos. A la derecha (color lila) la misma medida entre quienes tuvieron síntomas.
Curiosamente, no se ve esta diferencia entre sintomáticos y asintomáticos si miramos los niveles anticuerpos cuya diana es la proteína de la espina del virus. El nivel de anticuerpos en todos los casos se mantiene constante al menos hasta los seis primeros meses.
2) Linfocitos B de memoria y Linfocitos T
Los linfocitos B de memoria son los encargados de producir anticuerpos si el sistema inmunitario vuelve a detectar el virus. Los linfocitos T son encargados de 'matar' a las células infectadas y también de coordinar la respuesta inmunológica.
Midiendo la cantidad y las características de estos linfocitos, los investigadores descubren dos grupos de pacientes bien diferenciados: el primer grupo desarrolla una inmunidad duradera a los seis meses ('high responders'), el segundo grupo ('low responders') no.
La mayoría de las personas que tuvieron síntomas pertenece al grupo que desarrolla la inmunidad duradera. Y la mayoría de asintomáticos están en el grupo que no lo consigue. La diferencia entre estos dos grupos también se refleja en su capacidad de neutralizar las nuevas variantes del virus, como podéis ver en esta última figura:


